Palmer amaranth plants

Figure 1. Palmer amaranth plants were 5- 8 inches tall at time of application.

Updated: October 24, 2024
By Ben Beale , and Alan Leslie

Evaluating Late Season Burndown Options for Palmer Amaranth

A common question asked by farmers dealing with herbicide resistant Palmer amaranth is, “What are the most effective burndown options in situations where Palmer amaranth is larger then the ideal 3-4 inch control range?” We often encounter this scenario in fields left fallow for a year, fields with delayed planting due to saturated soils, and double crop fields following wheat. In the summer of 2022, we undertook a study evaluating eight different treatments for control of larger Palmer amaranth in Southern Maryland. The study was completed at a site with a history of Glyphosate and ALS-resistant Palmer amaranth. The field was fallowed through the spring and early summer, and mowed at a 8 inch height in mid July. At the time of herbicide applications on August 4, Palmer amaranth was 5-8 inches tall and present at a high density. Most plants were not clipped (Figure 1). Germination of Palmer amaranth was delayed due to a heavy cover of winter annual weeds. Other weeds present at the site at the time of application included annual foxtail and perennial broomsedge. Enlist soybeans were planted on August 3rd in order to evaluate any potential phytotoxicity or herbicide injury. We evaluated treatments with Roundup, Liberty, Enlist and Gramoxone with some using a non ionic surfactant or crop oil as the adjuvant. We also evaluated combinations of Liberty + Roundup or Liberty + Enlist.

Treatments

  1. Glyphosate (Roundup Power Max) 32 fl oz/ac + Amm. Sulfate 48 oz/ac
  2. Paraquat (Gramoxone SL 2.0) 48 fl oz/ac + Non Ionic Surfactant 6.4 fl oz/ac
  3. Paraquat (Gramoxone SL 2.0) 48 fl oz/ac + Crop Oil 32 fl oz/ac
  4. Glufosinate (Liberty 280 SL) 43 fl oz/ac + Amm. Sulfate 48 oz/ac + Crop Oil 32 fl oz/ac
  5. Glufosinate (Liberty 280 SL) 43 fl oz/ac + Amm. Sulfate 48 oz/ac + Non Ionic Surfactant 6.4 fl oz/ac
  6. 2,4-D choline (Enlist One) 32 fl oz/ac + Non Ionic Surfactant 6.4 fl oz/ac
  7. Glufosinate (Liberty 280 SL) 43 fl oz/ac + Glyphosate (Roundup Power Max) 32 fl oz/ac + Amm. Sulfate 48 oz/ac + Non Ionic Surfactant 6.4 fl oz/ac
  8. Glufosinate (Liberty 280 SL) 43 fl oz/ac + 2,4-D choline (Enlist One) 32 fl oz/ac + Amm. Sulfate 48 oz/ac + Non Ionic Surfactant 6.4 fl oz/ac

A randomized complete block design with four replications was used. Plot size was 10 ft. by 30 ft., with 5 ft aisles separating plots and running checks on each side of the plots. Treatments were applied using a ATV plot boom sprayer utilizing TeeJet AIXR 11003 flat fan nozzles at 35 psi applying 20 gallons per acre of spray solution. Application was made on August 4th in the mid-afternoon with clear bright sunshine and air temperature of 90°F. Plots were evaluated for percent control of Palmer amaranth and grass weeds 10, 20, and 30 days after treatment.

Results

Palmer Amaranth Control

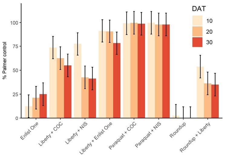
Bar graph -the results of Palmer amaranth control
Figure 2. Palmer amaranth control at 10, 20, and 30 days after treatment.
Bar graph-the results of palmer amaranth control after 20 days treatment
Figure 3. Palmer amaranth control at 20 days after treatment.

As depicted in Figure 2, treatments containing Gramoxone either with crop oil or a non-ionic surfactant, and the tank mix treatment of Liberty and Enlist One performed well throughout the study. Liberty applied either with non-ioni surfactant or crop oil, and Liberty with Roundup only achieved around 50 % control of Palmer Amaranth. It is notable that all Liberty treatments saw reduction in the level of control as the season progressed. This was evidenced in the field by Palmer amaranth plants suckering out from the base and re-growing approximately 2 weeks after the application. We did not observe suckering with the Gramoxone treatments or Liberty + Enlist treatments. Surprisingly, Enlist One treatments did not provide acceptable control of larger Palmer Amaranth plants in this study with an average control of around 25%. Enlist One control did gradually increase after the 10 day evaluation most likely due to the systemic nature of the product. As expected, we saw negligible control of Palmer amaranth with Roundup. The evaluation 20 days after treatment provided the clearest assessment of control, with no significant difference between Gramoxone treatments or the Liberty + Enlist One treatments (Figure 3). Liberty + NIS and Liberty + Crop Oil and Liberty + Roundup were not significantly different from each other, but significantly less effective than Gramoxone or Liberty + Enlist one treatments. Enlist treatment was not significantly different than the Roundup treatment. We should also note that new Palmer amaranth seedlings began to emerge just 20 days after the burn down treatments. Palmer amaranth continues to germinate throughout the summer, especially in open areas where sunlight reaches the soil. Controlling this weed takes a season long approach.

Grass Control

Bar graph results on grass control in soybean plots
Figure 4. Grass control in soybean plots.

As depicted in Figure 4, all treatments provided a satisfactory level of grass control. While Roundup didn’t have any efficacy on resistant Palmer amaranth, the enduring benefit of this product can clearly be seen in control of other tough weeds, such as grasses with 100% control in our study. We saw no reduction in control of the grasses present when Roundup was tank mixed with Liberty. The Gramoxone +NIS treatment had slightly lower grass control at 84%, and was significantly lower than Roundup treatments. Enlist only has activity on broadleaf and was omitted in the analysis for grass control. An interesting question for further study is the potential efficacy of Gramoxone + Roundup treatments.

This article appears in November 2022, Volume 13, Issue 8 of the Agronomy news.

Agronomy News, November 2022, Vol. 13, Issue 8

Agronomy News is a statewide newsletter for farmers, consultants, researchers, and educators interested in grain and row crop forage production systems. This newsletter is published once a month during the growing season and will include topics pertinent to agronomic crop production. Subscribers will receive an email with the latest edition.

Subscribe