Fuji apples
Updated: June 27, 2022
By Macarena Farcuh

Fuji Apple Fruit Quality: Effect of Harvest Maturity and Storage Temperatures

Fuji apples are among the top cultivars produced in the US. This late season cultivar stands out for its great quality and consumer acceptability, as well as for its good storage potential. Nevertheless, overall Fuji apple fruit quality can be impacted by several factors, including environmental conditions, preharvest management practices, stage of maturation at harvest, and postharvest storage temperatures, each affecting fruit marketability. Fruit maturity at harvest is a critical factor affecting postharvest ripening and flavor development, and therefore a determinant of postharvest handling of fruit. Too early a harvest may result in pronounced lack of flavor development, while late-harvested fruit undergoes rapid firmness loss during storage. In contrast, harvest of unripe fruit enhances a number of desirable characteristics, such as lengthened ripening period and delayed decline in firmness, acidity and green ground-color relative to ripe fruit. On the other hand, less mature fruit generally do not develop typical full flavor, and as a result taste is often strongly impaired. The objective of this research is to evaluate the effect of different harvest maturities and different storage temperatures on fruit quality and ripening patterns in Fuji apples grown under the Mid-Atlantic conditions.

Materials and Methods

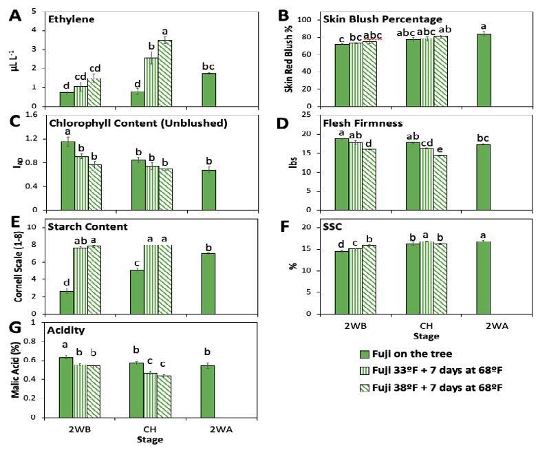
Fruit from BC2 Fuji/M26 trees grown in Aspers, PA, was harvested at three different times during ripening on the tree: (i) two weeks before anticipated commercial harvest, (ii) at commercial harvest, and (iii) two weeks after commercial harvest. This cultivar received an application of the plant growth regulator ReTain® (an ethylene production inhibitor) at full recommended dosage. Fruit quality parameters and ripening patterns were evaluated including: internal ethylene concentration (uL L-1), fruit skin red (blush) color, chlorophyll content using the difference of absorbance (DA) meter (Index of Absorbance Difference, IAD), flesh firmness (lbs), starch content (Cornell scale from 1(full starch)-8 (starch-free))[1], soluble solids contents (%), acidity (% malic acid) [2].Furthermore, Fuji fruit at each harvest maturity were submitted to two different postharvest conditions: storage at 33ºF or 38ºF. After two months of storage, the fruit was kept at 68ºF for seven days, and quality parameters and ripening patterns (as described above), were evaluated (Fig. 1).

Results

Internal ethylene concentration: Ethylene is a gaseous plant hormone controlling the rate of ripening, and directly affects fruit quality. Fuji fruit exhibited very low ethylene concentrations in the first two maturity stages (Fig. 1A). This was attributed to the immature stage of the fruits in the first stage. In the second ripening stage, low ethylene concentrations were due to the application of the plant growth regulator ReTain® which inhibits ethylene production. Nevertheless, the effect of that application of ReTain® was lost by the last maturity stage, as ethylene concentrations increased, indicating the acceleration of ripening. After storage and the shelf-life period, a significant increase in ethylene production was observed, specially at the commercial harvest stage. Fruit stored at 38F for 2 months had a higher ethylene production level than fruit stored at 33ºF for the same time frame.

Figure 1. Fruit quality assessments for Fuji apple cultivar at three different maturities, and stored at two different temperatures followed by a shelf-life period. Values are means ± SE (n=4). Different letters indicate significant differences (p < 0.05). (SSC = soluble solids content. DA = difference of absorbance. IAD = index of absorbance difference.)
Figure 1. Fruit quality assessments for Fuji apple cultivar at three different maturities, and stored at two different temperatures followed by a shelf-life period. Values are means ± SE (n=4). Different letters indicate significant differences (p < 0.05). (SSC = soluble solids content. DA = difference of absorbance. IAD = index of absorbance difference.)

Skin blush: Red skin coloration is a key characteristic for fruit marketability. Fruit showed a significant increase in the percentage of red skin blush as maturity increased. Fuji fruit already displayed a high red blush percentage (>60%) at the first ripening stage (Fig. 1B). Although red skin coloration is an important attribute for fruit marketability, it does not always represent the maturity stage of the fruits. Although, delaying harvest to an advanced maturity increases red skin color, this delay negatively affects overall fruit quality and shelf-life capacity, especially due to the higher ethylene concentration produced by the fruits as this stage. Throughout postharvest storage there were no changes in skin blush percentage for Fuji fruit.

Chlorophyll content quantification: A change from green to yellow in the background color of apples is an important indicator of fruit maturity. The DA meter measurements from the non-blushed side of fruit from all cultivars indicated that values of IAD decreased as the fruit was harvested at a later stage due to chlorophyll degradation (Fig. 1C). During postharvest storage and shelf-life, for fruit harvested two weeks before commercial harvest, we can see a significant decrease in chlorophyll contents, as compared to fruit assessed immediately after harvest. There are no between fruit that had been stored at 38ºF as compared to 33ºF.

Flesh firmness: As maturity advanced in the fruit, the flesh in Fuji fruit became softer, although this was only significant when comparing fruit harvest two weeks before and two weeks after commercial harvest. In general, Fuji fruit displayed low fruit softening rates, due to cultivar-specific characteristics. Thus, this cultivar provides more flexibility in terms of harvest date if environmental conditions are adequate (no excessive rainfall, frost-free conditions, etc). After storage and shelf-life, all fruit at all maturity stages displayed a significant decrease in their flesh firmness values, with fruits stored at 38ºF presenting lower values as compared to fruit stored at 33ºF (Fig. 1D). This is related to the increase ethylene levels in all cultivars during storage.

Starch content changes: When fruit ripens on the tree, starch in the fruit flesh is converted to sugars. Starch content was evaluated by performing a starch-iodine test [1,2]. Fruits displayed starch index values of ~4-5 during the second maturity stage (Fig. 1E), the stage recommended for harvesting apples for long-term storage. By the third maturity stage, fruit displayed starch breakdown index values >6, indicative of fruit that is tree-ripe. Throughout storage and the shelf-life period, irrespective of the maturity stage and temperature, starch was completely converted to sugars.

Soluble solids contents (SSC): Coinciding with the observed breakdown of starch, sugar content increased as fruit ripened on the tree (Fig. 1F). Soluble solid readings >15% are recommended for harvesting high quality Fuji fruit, a condition met by Fuji fruit at the first harvest due to their late ripening characteristics. It is worth indicating that we observed the presence of watercore (a physiological disorder caused by the accumulation of sorbitol-rich liquid, the primary transport carbohydrate of apples, in the intercellular spaces of the apple tissue). In general, sugar content remained constant or slightly increased after storage and the shelf-life period in both temperatures.

Acidity changes: Malic acid is the major acid present in the juice of apples, and it contributes, together with sugars and aroma volatiles, to apple fruit flavor. As the fruit advanced in maturity, the total acid content decreased (Fig. 1G). Harvesting fruit at an advanced maturity will decrease fruit acidity and can have an impact in overall flavor when the fruit reaches consumers. Furthermore, after storage and subsequent shelf-life, fruit acidity will continue to decrease. In the case of Fuji, there was no significant difference in acidity loss in fruit stored at 38ºF as compared to fruit stored at 33ºF.

Conclusions

Our results show that maturity at harvest plays a key role on the quality characteristics, ripening patterns, and development of physiological disorders of Fuji apple fruit grown in the Mid-Atlantic region, and may therefore directly influence fruit marketability. Fruit that is harvested at an advanced maturity will display higher red skin coloration percentage, and higher soluble solids contents. Nevertheless, they will also display higher ethylene concentration levels, lower firmness values, lower chlorophyll contents, and increased susceptibility to cracking, rot, and watercore development. Fuji fruit stored at 38ºF and followed by a shelf-life period presented higher ethylene production rates and lower flesh firmness than fruit stored at 33ºF. It is of utmost importance to monitor fruit maturity throughout ripening on the tree, starting 4-5 weeks before the anticipated normal harvest date, and to use different maturity indices in order to make the best and most informed harvest and storage decisions.

Acknowledgments

This project was funded by The State Horticultural Association of Pennsylvania (SHAP) and from start-up funds of Dr. Macarena Farcuh. The authors wish to thank our commercial grower cooperator Joy Cline and Bear Mountain Orchards, as well as the students in the Farcuh Lab. The authors also thank Dr. Daniel Weber and Dorothy Shaffer for her assistance.

References

[1] Blanpied, G.D. and Silsby, K.J., 1992. Predicting harvest date windows for apples. Cornell Cooperative Extension. [2] Farcuh, M. 2020. Determining Apple Fruit Maturity and Optimal Harvest Date. University of Maryland Extension Vegetable and Fruit News #5. August 2020: 5-8.

This article appears on November 1, 2021, Volume 12, Issue 7 of the Vegetable and Fruit News  

Vegetable and Fruit News, November 2021, Vol. 12, Issue 7

Vegetable and Fruit News is a statewide publication for the commercial vegetable and fruit industries and is published monthly during the growing season (April through October). Subscribers will receive an email with the latest edition.

Subscribe